Effects of spray-dried animal plasma on the growth performance of weaned piglets - A review
Abstract
Spray-dried animal plasma sourced from bovine, porcine or other animal origin is often used as a main feed ingredient in the diets of weanling piglets to improve growth performance. The objective of this study was to determine the effect of animal plasma in diets on the performance of piglets in the post-weaning period, with and/or without pathogenic challenge, by undertaking a meta-analysis. Data were extracted from peer-reviewed reports published in scientific journals. The average initial weight of the piglets was 5.8 kg and the average initial age 19 days (2–56 days). The average duration of feeding animal plasma was 40 days. Average daily gain (ADG), feed intake (ADFI) and feed conversion ratio (FCR) were found to be 22–28 g/day, 20–27 g/day and −0.28 to 0.06 g/g. Generally, diet supplemented with spray-dried bovine plasma (SDBP) improved the ADG of the piglets and spray-dried porcine plasma (SDPP) led to increases in the ADFI. For the first week post-weaning alone, as the dietary animal plasma percentage increased there was an increase in ADG and ADFI; similarly, the latter two measures increased as weaning age increased. The evidence suggests that mainly IgG present in animal plasma prevents the binding of pathogens to the gut wall and reduces the incidence of sub-clinical infection in the post-weaning stage. Animal plasma containing IgG appears to be a useful in-feed supplement for piglets in the post-weaning phase.
1 | INTRODUCTION
Spray-dried animal plasma (AP) is commonly used in the post-weaning diet of production animals to improve growth and well-being (Pierce, Cromwell, Lindemann, Russell, & Weaver, 2005). It is an abattoir by-product acquired from animal blood after exclusion of cells, concentration and spray-drying. Animal plasma mainly comprises protein, minerals and water, and protein fraction is largely comprised of albumins and globulins (Torrallardona, 2010). The albumins are proteins whose primary biological function is the preservation of plasma osmotic pressure and maintaining the buffering capacity of the blood. Among the globulins, the gamma globulins (IgG), a major constituent of blood plasma, have an immune function. The other types (IgM, IgA, IgD and IgE) are minor in blood plasma. The protein content in AP ranges between 70% and 80%, depending on the technological processes applied during production. High protein levels are usually associated with low ash contents and vice versa.
Generally, there are three types of spray-dried AP products available and these have been prepared from bovine plasma (SDBP), porcine plasma (SDPP) and plasma of unknown or mixed animal species (SDAP) (Lalls, Bosi, Janczyk, Koopmans, & Torrallardona, 2009). Several studies have reported benefits from including AP in the post-weaning diet of production animals, with improvements observed in feed intake, growth rate and intestinal growth (Campbell, Polo, Russell, & Crenshaw, 2010; Campbell, Quigley Iii, Russell, & Kidd, 2003; Gao et al., 2011; Pierce et al., 2005; Torrallardona, Conde, Badiola, Polo, & Brufau, 2003). The beneficial effects of SDAP on growth have also been reported in dogs (Quigley Iii, Campbell, Polo, & Russell, 2004), mice (Thomson, Jones, & Eisen, 1994, 1995) and rats (Balan, Han, Rutherfurd, Singh, & Moughan, 2009; Garriga et al., 2005; Pérez-Bosque et al., 2004, 2008, 2010a, 2010b). Studies have shown that the effect of AP is due to an increase in feed intake due to an improved palatability of the diets (Ermer, Miller, & Lewis, 1994). However, the higher feed intake could also possibly be due to improved health of the piglets. A study with piglets fed with or without plasma protein revealed that observed positive effects on growth that were independent of food intake, thus proving a specific biological effect (Jiang, Chang, Stoll, Ellis, et al., 2000). Protein utilisation was improved by AP in piglets and this could have been due to lower protein catabolism by the gut microbiota (Jiang, Chang, Stoll, Fan, et al., 2000; Ma et al., 2018; Ma & Ma, 2019). AP was found to influence the intestinal mass and the cellularity of the lamina propria. AP has been found to increase the number of bacteria such as lactobacilli in the ileal and caecal contents of piglets (Torrallardona et al., 2003), but a later study could not confirm this finding (Torrallardona, Conde, Badiola, & Polo, 2007). The biological effects of animal plasma appear to be more pronounced in piglets during a pathogen challenge (Coffey & Cromwell, 1995). The beneficial effects of AP ware mediated by its Ig fraction and its inhibitory activities against various pathogenic microbes and enterotoxins (Balan et al., 2009; Han, Boland, Singh, & Moughan, 2009; Lalls et al., 2009; Pierce et al., 2005). Therefore, differences in immunoglobulin (Ig) content (both quantitative and qualitative) might influence the efficacy of various AP sources. AP, with guaranteed elevated levels of Ig, was shown to be superior to conventional plasma (Bosi et al., 2001).
The often-observed positive effects of dietary AP and its Ig fraction on growth in animals may be due to a greater availability of nutrients for growth, consequent upon a lower degree of immune cell activation (Demas, Chefer, Talan, & Nelson, 1997) and or an altered integrity and structure of the intestinal mucosa (Fiocchi, 1997). It can be summarised that AP is a useful protein source for production animal diets and, apart from its beneficial effects on growth, feed intake and feed efficiency, there is clear evidence that AP (due to mainly its Ig fraction) prevents the binding of pathogens to the gut wall and reduces the incidence of post-weaning diarrhoea (Lalls et al., 2009). Although several studies have been made of the effects of AP on food intake and growth performance in weaned pigs, few attempts to consider these data in total have been published. The objective of this study, therefore, was to undertake an up-dated meta-analysis of the effects of AP on food intake and growth performance in the weaned pigs.
2 | MATERIALS AND METHODS
The mean differences between control and treatment were calculated and analysed using a t test on the pair differences. The source of plasma used in the study, as recorded from the publications, differed between studies. Therefore, this was reduced so that three main sources of interest could be compared: "spray-dried animal plasma" (SDAP); "spray-dried porcine plasma" (SDPP); and "spray-dried bovine plasma" (SDBP). All other treatments were categorised as "Other." "Other" includes treatments "animal plasma (AP)-300," "AP-820," "autoclaved-spray-dried animal plasma (Aut-SDAP)," "freeze-dried animal plasma (FDAP)," "Immun-SDAP," "irradiated-spray-dried animal plasma (ir-SDAP)-Pellet," "Plasma," "Protein," "PP," "SDAP-F Healthy" (SDAP in pelleted feed), "SDAP-F Week," "SDAP-Ig," "SDAP-W Healthy" (water soluble SDAP), "SDAP-W Week," "SDIPP" and "SDP (spray-dried plasma)". Days post-weaning was condensed into a new variable called "Weeks post-weaning." The meta-analysis was performed using a mixed effects model (Reml) in GenStat (GenStat, 2010) where the publication reference was used as a random effect and the fixed effects were plasma source, weeks post-weaning and their interaction. For determining the effect of control type, a mixed effects model (Reml) was performed using GenStat with fixed effects of treatment plasma source, control type and weeks post-weaning and publication as a random effect.
3 | RESULTS
3.1 | Response of piglet growth to plasma added to the diet
Table S1 (see supplementary file) summarises the mean results from 68 publications. The overall change in growth performance consequent upon adding AP to the diet (given by days after weaning) is shown in Table 1. The incorporation of AP into the diet generally had a positive effect on average daily gain (ADG), average daily feed intake (ADFI) and feed conversion ratio (FCR). Overall, ADG for the treatment groups was estimated to be between 22 and 28 g/day higher than for the corresponding control group. Similarly, ADFI for the treatment groups was estimated to be between 20 and 27 g/day higher than the corresponding control. For FCR, the overall mean difference between the treatment and control groups for each experiment was estimated to be between −0.28 and 0.06 g/g higher for the treatment than in the control.
There was a high degree of variation in the responses of the piglets to plasma added to their diets across the different studies (Figure 1). The range of difference in ADG (treatment group less control group) was between −185 and 154 g/day. This indicates that in these published experiments, the treatment tended to offer an improvement over the control, but for some of the experiments, there was a decrease in ADG when compared to the control. Likewise, the range in difference on the ADFI was between −185 and 154 g/day, indicating that for some experiments, the ADFI was lower for the treatment than for the control group. For FCR, the range of difference was between −22 and 1 g/g.
TABLE 1 Means for difference between treatment and control categorised by days after weaning

There were considerable differences between how the experiments were carried out. One such difference was the day (post-weaning) that the piglets were monitored. For ADG and ADFI, there was evidence of a difference between the overall mean improvements in the treatment compared to its control for some time points post-weaning. There was no evidence of a difference between the mean improvements in FCR for days post-weaning. The mean improvement in ADG for 0–7 days post-weaning was found to be 43 g/day, whereas the mean improvement in ADG for 7–14 days post-weaning was −0.07 g/day. Also, the mean improvement in ADG for 0–7 days post-weaning was higher than for 14–28 days post-weaning. Similarly, the mean improvement in ADFI was greater for 0–7 (17%) days post-weaning than for both 7–14 (3%) and two weeks (12%) post-weaning.
Publications indicated whether or not the piglets were microbially challenged (69 publications reporting no challenge vs. 20 challenged). Analysis of the reduced sets of data provided no evidence of differences in the mean improvement in ADG, ADFI and FCR for those piglets that were microbially challenged compared to those that were not.
3.2 | Plasma source effect
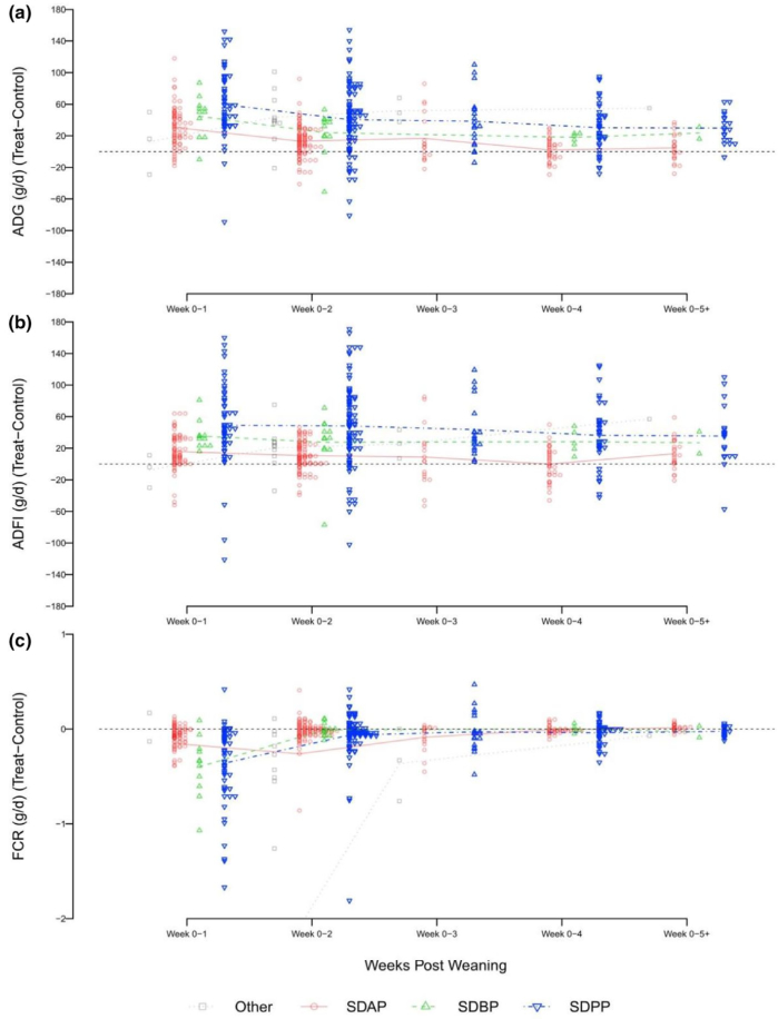
Figure 1a shows the change in ADG (diffADG = ADGtreat − ADGcontrol) categorised by weeks post-weaning and plasma source. There was no evidence of an interaction between the plasma source and weeks post-weaning. However, overall, regardless of the control type, the improvement in ADG for treatment SDAP was less than the improvement from SDBP and SDPP treatments. There was no evidence of an overall difference between the mean improvement from SDBP and SDPP treatments. For all weeks post-weaning (condensing some categories for days post-weaning), treatment SDAP had the lowest mean (12.8 g/day) improvement in ADG and SDPP had the greatest mean improvement (38.3 g/day). For all treatments (expect Other), there was a trend of decreasing mean improvement for longer periods post-weaning.
Figure 1b shows the improvement in ADFI (diffADFI = ADFItreat − ADFIcontrol) categorised by weeks post-weaning and plasma source. There was no evidence of an interaction between days post-weaning and plasma source. There was evidence that both treatment type and days post-weaning influenced the mean improvement in ADFI. There was evidence that the mean for improvement in ADFI was higher for SDPP (40.8 g/day) sources than for SDAP (8.8 g/day) sources, regardless of control type and days post-weaning. For all weeks post-weaning, the mean improvement for ADFI for SDAP sources was less than for SDBP and SDPP sources. There was no noticeable trend in the improvement in ADFI for weeks post-weaning.

FIGURE 1 Improvement in ADG, ADFI and FCR categorised by weeks post-weaning, and plasma source (Improvement = Treatment − control). ADG, average daily gain; ADFI, average daily feed intake; FCR, feed conversion ratio; SDAP, spray-dried animal plasma; SDPP, spray-dried porcine plasma; and SDBP, spray-dried bovine plasma
Figure 1c shows the improvement in FCR (diffFCR = FCRtreat − FCRcontrol) separated by weeks post-weaning and plasma source. There was evidence of an interaction between days post-weaning and plasma source. That is, for different days post-weaning plasma sources with the highest mean differences differed. There were a few extreme outliers (not shown in figure) that caused the low means for "Other" sources for 1 and 2 weeks post-weaning. For SDBP and SDPP sources, the improvement in FCR was lower for 1 week post-weaning than 2 weeks post-weaning. However, the difference between 0–7 days post-weaning for treatment SDPP and SDBP and 0–14 days post-weaning was not significant. For the other periods post-weaning, the improvement in FCR was close to zero.
3.3 | The influence of control
The type of control diet used was likely to influence the improvement of the treatment over the control. There was a large variety of different controls used in the published experiments. The means for the differences between treatment and control for the first week and second week post-weaning broken down by control type are shown in Table 2a–c. Only controls that occurred more than once were included in the tables, but this restriction was not used when performing the analysis.
When we restricted the analysis to include only data from the first week post-weaning, there was no evidence of a difference between the mean improvement in ADG and ADFI for the different control types. For FCR, there was some evidence of a difference. When restricted to the second week post-weaning, there was some evidence of a difference due to control type in the mean improvement in ADG and ADFI and there was no evidence for change in FCR.
TABLE 2 (a) Mean differences between treatment and control diets categorised according to the protein replacing the SDAP in the control diet for 0–1 weeks and 0–2 weeks after weaning. (b) Mean differences between treatment and control diets categorised according to the protein replacing the SDBP in the control diet for 0–1 weeks and 0–2 weeks after weaning. (c) Mean differences between treatment and control diets categorised according to the protein replacing the SDPP in the control diet for 0–1 weeks and 0–2 weeks after weaning

3.4 | The influence of percentage of plasma added to the diet
Figure 2 shows the influence of percentage of plasma added to the diet on the improvement in ADG, ADFI and FCR when categorised by weeks post-weaning and plasma source. For the first week post-weaning, there was a positive relationship between the improvement in ADG and percentage of plasma in diet, as percentage of plasma increased the improvement in ADG increased. There were differences between the improvement in ADG for the three main sources of plasma (SDAP, SDBP and SDPP). The improvement in ADG was on average greater for SDBP and SDPP sources than it was for SDAP sources. For a diet consisting of 4% SDAP for a piglet weaned at 14 days, we predict that the improvement in the ADG would be 87 g/day, if the plasma was increased to 10% of diet we predict the improvement in ADG would be 102 g/day (Table 3).
For the first 2 weeks post-weaning, there was no relationship between the improvement in ADG and percentage of plasma added to the diet. There were differences between the treatments, where on average estimated improvements were greatest for SDBP and least for SDAP.
For the first week post-weaning, there was a positive relationship between the improvement in ADFI and percentage plasma added to the diet for all plasma sources. As percentage of plasma added to the diet increased, the improvement in ADFI increased. On average, this improvement was greatest for SDPP sources and lowest for the SDAP sources. For the first 2 weeks post-weaning, there was no relationship between the percentage plasma added to the diet and the improvement in ADFI. The improvement in ADFI was on average largest for SDPP sources and lowest for SDAP sources.
There was no relationship between the improvement in FCR and percentage plasma added to the diet. Additionally, the weeks post-weaning measure was not influencing the overall mean fit of the model. Figure 2 panels (k) to (o) show a trend of deceasing variability in the improvement in FCR for longer periods post-weaning.
3.5 | The influence of age of piglet at weaning
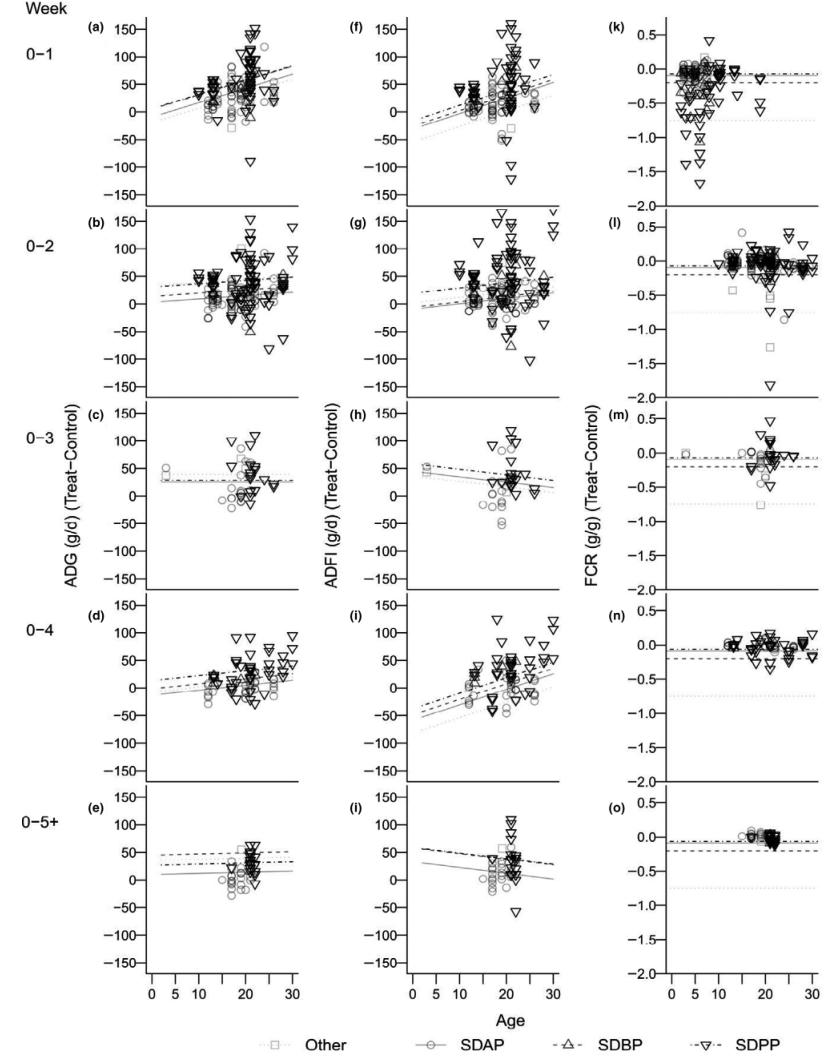
Figure 3 shows the influence of age of piglet on the improvement in ADG, ADFI and FCR categorised by weeks post-weaning and plasma source. For the first week post–weaning, there was a positive relationship between improvement in ADG and age, as age increased the improvement in ADG increased. For the average improvement in ADG, there was evidence of a difference between plasma sources. For the first week post-weaning, there was evidence that the improvement in ADG was greater for SDPP sources than for SDAP source. For the other weeks post-weaning, there was no relationship between improvement in ADG and increasing age of piglet at time of weaning. On average, the improvement in ADG was greatest for SDBP and SDPP when compared to SDAP.
For the first week post-weaning, there was a positive relationship between the improvement in ADFI and age of weaning for the piglet. There was also evidence of a difference in improvement in ADFI due to the plasma sources. For the first 2 weeks post-weaning, there was evidence that the improvement in ADFI was greater for SDPP sources than for both SDAP and SDBP sources. Additionally, for 4 weeks post-weaning there was evidence that the improvement in ADFI was greater for SDPP than for SDAP.

For FCR, there was no difference between the three main plasma sources (SDAP, SDBP and SDPP). However, these three main plasma sources performed better than the other plasma sources.

4 | DISCUSSION
4.1 | Response of piglet food intake and growth to animal plasma
Generally, feeding AP to the weaned piglets led to an overall 20% and 10% increase in ADG and ADFI when compared to their corresponding control group. The addition of AP to the piglet diet also resulted in an overall 3% reduction in FCR compared to the control group. Several researchers have reported benefits from including AP in post-weaning piglet diets, with the improvement observed in growth rate and in intestinal growth (Gatnau, Cain, Drew, & Zimmerman, 1995; Pierce et al., 2005; Torrallardona et al., 2003). Earlier studies have documented that the effect of AP is due to an increase in feed intake which is due to an improved palatability of the diets. This theory was well supported by a two-choice feed preference study in which piglets preferred a diet containing AP over a diet containing dried skimmed milk (Ermer et al., 1994). Moreover, the higher feed intake could also possibly have been due to the better health of the piglets and that would have resulted in better growth performance (Che et al., 2012; Torrallardona et al., 2003). The mean improvement in ADG and ADFI for the first week, that is 0–7 days post-weaning, is 36% and 17%; however, the mean improvement in ADG and ADFI for the second week, that is, from 7–14 days post-weaning, is found to be only 2% and 3%. Moreover, there is also a strong indication (p < .05) that the improvement in ADG and ADFI for the first week post-weaning is higher than that for two weeks (0–14 days) and fourth week (0–28 days) post-weaning, which was found to be 36% (ADG) and 17% (ADFI) vs. 24% (ADG) and 12% (ADFI) (2 weeks); and 6% (ADG) and 4% (ADFI) (4 weeks). Similarly, our findings are partially similar to the earlier findings of Ferreira, Barbosa, Tokach, and Santos (2009) where they reported that that inclusion of AP in the diet resulted in a 39% increase in growth, a 32% increase in feed intake and a 5.4% improvement in FCR during the first weeks post-weaning.
Greater ADG for animals supplemented with AP can be related to the health status of the piglet. Generally, there are two types of acquired immunity (a) humoral and (b) cellular (Balan, 2011). It is well documented that plasma is rich in immune proteins such as immunoglobulins (especially IgG) (Balan et al., 2009; Lalles, 2008). During the first day of life, the animal receives immunoglobulin, which is provided by colostrum, as IgG is present in large quantities in breast milk and it is absorbed intact in the GIT. However, after this short period of time, the intestine stops absorbing intact IgG (Remus et al., 2013). Moreover, during weaning, piglets with an underdeveloped GIT having less enzyme activity, and decreased intestinal absorption, are exposed to solid feed from liquid feed, which is also identified as one of the major reasons for the low feed intake and further this may result in diarrhoea and less growth. Reports have shown that IgG present in the animal's own plasma functions as a physiological barrier that safeguards the intestinal epithelium and, due to this protective function, there is less epithelia desquamation which is induced by diarrhoea after weaning (Balan et al., 2009; Balan, Sik-Han, & Moughan, 2019; Lalles, 2008). This has the propensity to impact the growth rate and FCR. AP displaying immunological properties similar to that of colostrum/or breast milk may improve the growth performance of the weaned piglets (Mavromichalis, 2006).
FIGURE 3 The influence of piglet age on the improvement in ADG, ADFI and FCR categorised by weeks post-weaning and plasma source (Improvement = Treatment − control). ADG, average daily gain; ADFI, average daily feed intake; FCR, feed conversion ratio; SDAP, spray-dried animal plasma; SDPP, spray-dried porcine plasma; and SDBP, spray-dried bovine plasma. Weeks post-weaning are 0–1 weeks (a, f, k), 0–2 weeks (b, g, l), 0–3 weeks (c, h, m), 0–4 weeks (d, i, n) and 0–5+ weeks (e, j, o)

Spray-dried plasma was initially projected as a protein source for use in pig diets in the late 1980s (Gatnau & Zimmerman, 1990; PérezBosque, Polo, & Torrallardona, 2016) and after which numerous studies have established improvement in piglet performance with its use (Pierce et al., 2005; Torrallardona, 2010). Various reports have also found that SDP reduces the incidence of post-weaning diarrhoea (Cain & Zimmerman, 1997; Gatnau & Zimmerman, 1991). Superior efficacy of SDP has been proposed in younger pigs which have a less mature immune system compared to the older pigs fed the same diet (Torrallardona, Conde, Esteve-Garcia, & Brufau, 2002), or in pigs kept under less sanitary conditions (Coffey & Cromwell, 1995). Based on these findings, the evidence suggests that a superior growth performance effect of SDP is by supporting the immune system or by acting directly against pathogens which again compromise the growth of the piglets (Coffey & Cromwell, 1995; Pérez-Bosque et al., 2016).
4.2 | Plasma source effect
Based on the results, there is no significant evidence of an interaction between the AP source and weeks post-weaning (Figure 1a). Piglets fed either SDBP or SDPP, when compared to feeding SDAP resulted in higher ADG and ADFI. However, there was no significant difference in the daily growth and feed intake for piglets fed SDBP and SDPP. On average from the first week to the fifth week post-weaning, piglets fed SDPP had the superior mean improvement in ADG and ADFI of 38.3 and 40.8 g/day and SDAP had the lowest mean improvement of 12.8 and 8.8 g/day for ADG and ADFI. Current findings also suggest there is a decreasing trend in ADG but not ADFI for longer periods post-weaning. However, there are observations found in the literature suggesting SDPP improved and has the highest the growth performance in piglets post-weaning. Van Dijk, Everts, et al. (2001) and Van Dijk, Ubbink-Blanksma, et al. (2001) based on their meta-analysis results suggested that SDPP and SDBP improved the piglet performance post-weaning, but the response of ADG to SDBP is lower when compared to that of SDPP. Similarly, Torrallardona (2010) reported all three sources (i.e., SDAP, SDBP and SDPP) increase the performance of the piglets; how-ever, the SDPP has the highest efficacy than the other plasma sources and this effect is due to the presence of porcine IgG in the SDPP fraction against the porcine pathogens that may harbour in the intestine of the weaned piglets. Other studies also show direct comparison of the two sources that resulted in higher performance for SDPP compared to SDBP (Gatnau et al., 1995; Hansen, Nelssen, Goodband, & Weeden, 1993; Pierce et al., 2005; Torrallardona, 2010). Another study found SDBP is far superior compared to SDPP (Russell, 1994). However, here we report that there was no significant difference between SDBP and SDPP for ADG and ADFI in piglets post-weaning. This observation may be due to the higher number of animal trials with differing control diets included in the current meta-analysis, which may have resulted in no difference between the SDBP and SDPP.
The intestinal surface is exposed to a wide range of pathogens but also to non-pathogenic antigens (Ma et al., 2018; Ma & Ma, 2019; Pérez-Bosque et al., 2016). The effects of SDP inclusion result in improving intestinal integrity not only during intestinal inflammation, but also in non-inflamed pigs (Peace et al., 2011). This effect of SDPP/SDBP is facilitated by increased enterocyte proliferation, as demonstrated in vitro experiments (Pérez-Bosque et al., 2016; Tran et al., 2014). On the other hand, SDP also modified the intestinal morphology as SDP fed pigs showed higher villus height and reduced cellularity, which was associated with lower immune activation (Nofrarías et al., 2006). Similarly, reports have shown that SDP up-regulated IL-10 production in intestinal mucosa of non-inflamed mice, which can reduce basal immune system activation (Maijó et al., 2012). Intestinal mucosa is protected by gut-associated lymphoid tissue (GALT), and the primary role is the ability to recognise, destroy and eliminate pathogens but must not respond to non-pathogenic antigens (Ma et al., 2018; Ma & Ma, 2019). So, if the immune system is stimulated and the response is not contained, this can result in tissue destruction (McKay, Benjamin, & Lu, 1998). In this sense, the mechanism of action of SDPP/SDBP on pig growth performance involves regulation of GALT. It is also established that SDPP/SDBP contains growth factors, cytokines, immunoglobulins and other biologically active compounds that may also add to its positive effects on pig growth performance (Lalles, Bosi, Janczyk, Koopmans, & Torrallardona, 2009; Pérez-Bosque et al., 2016; Pierce et al., 2005).
4.3 | The influence of control type
The positive response to AP may be reliant on the kind of protein used in the control diet. A beneficial response would be expected if AP replaced a protein sources in the control diet with inferior nutritional value, whereas no response or a negative effect should be expected if the protein source in the control diet being replaced had the same or a superior nutritional value respectively. Table 2a–c shows the growth performance to SDAP, SDBP and SDPP based on the nature of protein being replaced in the control diet.
For all the protein sources being replaced, in the first and second week post-weaning, SDAP improved weight gain and feed intake except for skim milk supplemented diet, which confirms that factors other than nutritional value might also be involved in the positive effects of SDAP (Table 2a). However, in the case of SDBP, better ADG and ADFI were evident against the other protein source in the first week post-weaning, except, for the potato protein in the second week where ADG and ADFI were higher when compared to SDBP (Table 2b). In contrast, in the first and the second week post-weaning, SDPP fed piglets had the highest weight gain and feed intake when compared to the other protein source used in the control diet (Table 2c). Higher palatability of diets containing AP was suggested by earlier findings which may support the higher feed intake for piglets fed SDPP diets (Ermer et al., 1994). However, Torrallardona and Sola-Oriol (2009) contrasted the earlier findings by suggesting SDPP preference was intermediate among the fourteen protein sources investigated and did not differ significantly from them except for potato protein which had a significantly lower preference. The higher ADFI witnessed for the diets containing AP would also result from an improved health status and higher body weight of the piglets (Torrallardona, 2010; Torrallardona et al., 2003).
4.4 | The influence of percentage of animal plasma added to the diet
It appears that during the first week of post-weaning, piglets ADG and ADFI increase as the percentage of plasma increases in the diet. This effect was completely absent in the second week and later weeks post-weaning. There was no influence of different percentage of AP on FCR in the first, second and later weeks post-weaning. Torrallardona (2010) reported that during the first week post-weaning, piglet's feed intake is very low; as a result, the higher levels of AP would facilitate an adequate intake of IgG. Over the twoweek period post-weaning, in contrast feed intake is normalised and the higher AP would result in nutrient imbalances that may lower the productive response (Pluske, Hampson, & Williams, 1997). Based on our findings, feed intake was higher in the first week post-weaning too, that would result in more presence of immunity proteins against pathogens in the gut, which led to more growth (Van Dijk, Everts, et al., 2001). However, this effect is not evident in the second week, which may be due to the normalisation of feed intake and the addition of the higher percentage of plasma may lead to the nutrient imbalances that results in no effect on piglet growth performance as suggested by earlier findings (Torrallardona, 2010). Moreover, based on the results we suggest that improvements in ADG and ADFI were significantly higher as a percentage of SDBP (for ADG) and SDPP (for ADFI) increased in the diet when compared to the SDAP. Jensen, Elnif, Burrin, and Sangild (2001) investigated the response of different diets to the intestinal growth, IgG absorptive capacity and enzyme activities in new born pigs. They concluded that bovine colostrum may be a useful substitute for porcine colostrum in artificial rearing of new born pigs. Based on their findings and current study, it can be suggested that bovine IgG is more efficient than porcine or mixed source IgG in terms of growth; however, in case of ADFI, piglets prefer porcine source rather than bovine or mixed source (Ermer et al., 1994).
4.5 | The influence of age of piglet at weaning
The response to AP according to the age of the piglets at weaning is shown in Figure 3. It seems that during the first week of post-weaning, there is significantly higher growth performance (ADG, ADFI and not FCR) of piglets due to an AP addition to the diet as the age of piglets increases at weaning. However, Torrallardona (2010) found no statistically significant differences among weaning age groups on the effect of AP on ADG. This discrepancy may be due to their meta-analysis using three age groups, that is 10–17, 18–24 and 25–32 days, which was not the case in this study. Moreover, Van Dijk, Everts, et al. (2001) and Van Dijk, Ubbink-Blanksma, et al. (2001) reported that AP included in the creep feed of very young piglet significantly improves the post-weaning performance. However, based on this meta-analysis study, we document that in the first week of post-weaning, as the age of piglets increases at weaning there is an increase in the ADG. Our findings can be supported as during weaning, piglets with underdeveloped intestine having less enzyme activity, and decreased intestinal absorption, are exposed to the solid feed from liquid feed, which is also identified as one of the major reasons for the low feed intake and further this results in less growth (Remus et al., 2013). However, due to an increase in the ADFI (Torrallardona, 2010), which may facilitate an adequate intake of IgG, present in the AP, that functions as a physiological barrier that protects the intestinal epithelium of weaned piglets, which results in less epithelia desquamation induced by diarrhoea after weaning and results in superior growth (Lalles, 2008). There was no significant relationship between improvement in ADG and increasing age of piglet at time of weaning in the second, third and later weeks post-weaning. However, as the age of piglets increases at weaning there was an increase in ADFI due to AP addition in the diets for the second and the fourth week. Further, based on the outcome of this study, we suggest that as the age of piglets increases at weaning there are significant improvements in ADG and ADFI for SDBP (for ADG) and SDPP (for ADG and ADFI) inclusion in the diet when compared to that of SDAP addition in the diet.
Table 3 shows the predicted values of ADG and ADFI for various ranges of AP (% of SDAP, SDBP and SDPP in the diets) and piglet's age at weaning. Based on the outcome, the predicted performance values for week 0–2 were less than for week 0–1. The greater improvement in ADG over the controls was found to be for piglets supplemented with either SDBP or SDPP. Using 10% of SDBP or SDPP produces a higher predicted growth rate improvement than using 4%. The 4-week-old piglets offered a greater predicted growth rate improvement than the 2-week-old. However, the greatest improvement in ADFI over the controls was found to be for piglets supplemented with SDPP and not with the SDBP or SDAP. Similarly, feeding diets supplemented with 10% of SDPP produce a higher predicted feed intake improvement than using 4% SDPP. Furthermore, the 28-day-old piglets showed a greater predicted feed intake improvement than the 14-day-old piglets.
4.6 | Mode of action of animal plasma
Animal plasma is a protein source of great interest for use in prestarter piglet diets. Numerous studies evaluating SDAP have been shown to significantly improve growth, feed intake and feed conversion ratio (Bosi et al., 2004; Che et al., 2012; Ermer et al., 1994; Gatnau et al., 1995; Hansen et al., 1993; Kats et al., 1994; Lalles et al., 2009; Pierce et al., 2005) and this conclusion has been borneout in this meta-analysis.
Authors reported that the beneficial effect of AP is due to an increase in the feed intake, whereas others found that the bioactive proteins present in the AP were responsible for the benefits of inclusion of AP in the diets of the weaned piglets (Gatnau et al., 1995; Owen et al., 1995; Pierce et al., 2005). An increase in feed intake as the primary driver is supported by observed increases in the palatability of AP over that of dry skim milk feeds (Ermer et al., 1994). In contrast, reports have shown the SDPP preference was intermediate among 14 common protein sources verified and in some cases the preference for SDPP was much lower than that of fishmeal protein sources (Torrallardona, 2010; Torrallardona & Sola-Oriol, 2009). These findings suggest that the higher feed intake for the AP containing diet may not be due to palatability, or palatability alone, but due to the effects of AP on the gut health of the piglets (Che et al., 2012; Torrallardona et al., 2003).
It is well documented that in the GIT, exposure to antigens such as pathogenic and non-pathogenic organisms induces the macrophages to produce and secrete pro-inflammatory cytokines such as interleukin-1, interleukin-6, and tumour necrosis factor-α and acute phase proteins. These cytokines act in the brain to decrease feed intake (Balan et al., 2009; Johnson, 1997) and as well the consequent increased demand for amino acids lowers the efficiency of dietary protein utilisation, resulting in overall growth inhibition. Consequently, the increased feed intake observed for the piglets fed the AP containing diets might be due to a reduction in the pro-inflammatory cytokines produced as a result of lower antigenic stimuli with AP containing diets (Torrallardona, 2010). The GIT of piglet is fully developed by approximately five to six weeks of age (Mavromichalis, 2006; Remus et al., 2013). With a completely developed GIT, more gastrointestinal secretion occurs, which prevents the incidence and survival of pathogens since many of these are destroyed by the acidity of stomach fluid (Lalles, Bosi, Smidt, & Stokes, 2007). However, when the GIT is immature there will be a relatively lower secretion of potentially bactericidal substances against pathogens, so supplementation with AP may have positive effects probably by enhancing the active immunity due to the presence of IgG in AP (Remus et al., 2013). In cases of pathogenic health challenges, AP is often recommended, especially in the presence of Escherichia coli by inhibiting the adhesion of bacteria by immune exclusion to the GIT (Lallès et al., 2004).
However, the most generally accepted hypothesis for the mode of action for AP is related to its immunoglobulin (IgG, IgM, IgA, IgD, but mainly, IgG) content which is biologically active against a wide range of GIT pathogens and enterotoxins. This theory was primarily supported by reports in which AP was proven to diminish the incidence of post-weaning diarrhoea (Cain & Zimmerman, 1997; Gatnau & Zimmerman, 1991). The beneficial effects of AP appear to be more evident during higher pathogen challenges (Balan et al., 2009; Coffey & Cromwell, 1995).
Pierce et al. (2005) evaluated the dietary addition of AP and three of its fractions IgG-rich, albumin-rich and low molecular weight fractions. Their findings suggested that the high molecular weight fraction (immunoglobulin/IgG) is responsible for the positive effects of AP (Torrallardona, 2010). Plasma IgG is considered to lower stimulation of the immune system by preventing microbial growth or colonisation in the GIT, especially in the small intestine, and/or by indirectly assisting mucosal integrity (Balan, 2011; Balan et al., 2009; Balan, Staincliffe, & Moughan, 2020; Ma & Ma, 2019; Touchette et al., 2002). Lowered activation of the immune system would thus lead to a higher availability of nutrients for growth (Balan et al., 2009; Demas et al., 1997; Garriga et al., 2005; Torrallardona et al., 2003).
In the past few years, numerous articles have been published showing the benefits of including IgG concentrate extracted from the plasma in the diets of weanling and growing rodent animal models (Balan, 2011; Balan et al., 2009; Balan et al., 2020; Pérez-Bosque et al., 2006). Han et al. (2009) in an in vitro experiment confirmed the anti-pathogenic effect of IgG concentrate extracted from lamb's blood. They reported that IgG was able to bind to the cell walls of 13 strains of bacteria (both gram-positive and gram-negative). They also found that IgG was able to bind to the LPS obtained from E. coli O111:B4 and Salmonella typhimurium. They concluded that IgG would be a potential supplement for protection against pathogenic bacteria. Various published articles have reported numerous benefits of IgG concentrate such as, increase in growth rate including improved feed conversion efficiency, the weights of some digestive organs, and gut morphology (villus and crypt architecture) (Balan et al., 2009; Balan, Han, Rutherfurd, Singh, & Moughan, 2011), positively modulating the immune function through enhanced innate and specific immune responses, such as phagocytic activity of PBLs, and enhanced lymphocyte proliferation, increase in natural killer (NK) cells, production of cytokines and secretory IgA and IgG in the intestinal contents and plasma (Balan, Han, Rutherfurd-Markwick, Singh, & Moughan, 2010, 2011; Balan & Moughan, 2013; Balan et al., 2020; Ma & Ma, 2019; Maijó et al., 2012; Pérez-Bosque et al., 2010b), positively up-regulating the microbiota by enhancing good bacteria such as lactobacillus and reducing pathogenic bacteria such as enterobacteria (Balan, Han, Lawley, & Moughan, 2013; Balan, Han, RutherfurdMarkwick, Han, Rutherfurd-Markwick, Singh, & Moughan, 2011) and increasing gut mucin gene expression and protein concentrations (Balan, 2011; Balan, Han, Rutherfurd, et al., 2011; Balan, Han, Singh, & Moughan, 2011; Balan et al., 2020) in both un-challenged and Salmonella enteritidis challenged animals.
Bosi et al. (2004) reported that piglets challenged with E. coli K88 (K88 fimbria appendages present on E. coli mediates adhesion of the bacterial cell to the brush borders of the epithelial cells lining the small intestine) had a lower concentration of specific IgA anti-K88 in plasma and saliva when they were fed a plasma source rich in IgG, thus suggesting a protective effect against the adhesion of E. coli K88 to the enterocytes. Reports are also found in the literature suggesting the benefits of porcine plasma IgG in the treatment of mild intestinal inflammation (induced by administration of staphylococcal enterotoxin B [SEB]) in the rodent model. Dietary supplementation, with porcine IgG, prevented the SEB-induced activation of CD3, CD4 (T helper lymphocytes), CD8 (T suppressor/or cytotoxic lymphocytes), CD25 (activated T lymphocytes), Tγδ lymphocytes and natural killer (NK) cells in lamina propria (Pérez-Bosque et al., 2008), expression of IFNγ, TNFα, IL-6 and LTB 4 in PP and mucosa (Pérez-Bosque et al., 2010a, 2010b; Pérez-Bosque & Moretó, 2010), and water content of faeces (Pérez-Bosque et al., 2004). Dietary plasma protein, containing Ig, has been found to alter SEB effects on mucosal inducible nitric oxide synthase (iNOS), cryptdin 4 and β-defensin 1 expression (Pérez-Bosque et al., 2010a). Moreover, numerous studies have shown that orally administered Ig retains its biological activity within the GIT post-digestion. Undigested and partially digested Ig with intact activity have been found in the digestive tracts of adult and infant humans, dogs, cats, pigs and rats (Balan, 2011; Balan, Han, Dukkipati, & Moughan, 2014; Kelly et al., 1997; Morel, Schollum, Buwalda, & Pearson, 1995; Rodriguez et al., 2007). However, the destruction of AP antibodies and ovine IgG by autoclaving or inactivation has been shown to reduce its efficacy (Balan, 2011; Balan et al., 2009, 2014; Balan, Han, Rutherfurd-Markwick, Singh, & Moughan, 2010; Owusu-Asiedu, Baidoot, Nyachoti, & Marquardt, 2002), although it cannot be ruled out that other bioactive components in plasma might also be damaged with this procedure.
4.7 | Issues affecting animal plasma
Recently, it has been found that porcine epidemic diarrhoea virus (PEDV) could be spread to naïve pig populations through inclusion of SDPP into the nursery diet which resulted in PIG industry associations suggesting pig producers to take every precaution when using SDPP and moreover this has led to a ban of SDPP in several areas in North America and Europe (Bowman, Krogwold, Price, Davis, & Moeller, 2015; Gerber et al., 2014; Opriessnig, Xiao, Gerber, Zhang, & Halbur, 2014; Pasick et al., 2014). Two studies investigate the effect of PEDV in SDPP. The aim of those studies was to determine the infectivity of PEDV RNA present in commercial SDPP (Opriessnig et al., 2014) and to determine the effect of spray-drying on PEDV infectivity (Gerber et al., 2014). The study outcome found no indication of infectivity of the PEDV RNA in the SDPP lot utilised. Moreover, under the study conditions SDPP or egg-derived liquid PEDV globulin addition did not significantly modify PEDV-shedding or overall disease course after experimental challenge (Opriessnig et al., 2014). Gerber et al. (2014) provided direct indication that the experimental spray-drying process used in their study was effective in inactivating infectious PEDV in the plasma. Furthermore, they found that the plasma collected from PEDV infected pigs at peak disease did not contain infectious PEDV. These outcomes recommend that the risk for PEDV transmission through commercially produced SDPP is low (Gerber et al., 2014).
5 | CONCLUSION
In conclusion, generally, spray-dried bovine plasma (SDBP) improved the ADG of piglets and spray-dried porcine plasma (SDPP) helped in increasing ADFI. In the first week post-weaning, as the dietary animal plasma percentage increased there was an increase in ADG and ADFI. There was strong evidence suggesting that mainly IgG present in animal plasma prevents the binding of pathogens to the gut wall and reduces the incidence of infectious burden in the post-weaning stage.
For more of the article, please click here.
Article made possible through the contribution of P. Balan et al.