Goal: Improve the homogeneity in your feedlots
As exposed by Vela, A (2015), initial piglet weight has an amplifying effect on later stages (Figure 1).
|
|
PERCENTAGE |
DIFFERENCE BETWEEN PERCENTILE 10 AND 90 | ||||||
|
STAGE |
5 |
10 |
25 |
50 |
75 |
90 |
95 |
|
|
Birth |
0.83 |
1.01 |
1.22 |
1.38 |
1.51 |
1.74 |
1.91 |
0.73 |
|
Weaning |
4.13 |
5.06 |
5.31 |
5.81 |
6.11 |
6.76 |
6.86 |
1.7 |
|
Transition |
18.82 |
21.19 |
21.91 |
23.03 |
24.64 |
25.92 |
26.46 |
4.73 |
A. Vela 2015
The increase in weight spread with age is related to variation in piglet growth curves according to their birth weight (Figure 2). Thus, smaller pigs may take up to 40 days more than larger pigs to achieve the target weight at entry to the slaughterhouse. That causes considerable losses, either because of an increase in feedlot occupation times in order to reach the target weight, or because of the penalties at the slaughterhouse due to the lack of homogeneity in the animals loaded caused by an early emptying of the feedlot so that new piglets can be received.
Figure 2. Piglet weight variability from birth to slaughter (López Vergé and Sola-Oriol, 2015).

The coefficient of variation can be reduced through several strategies either in transition or in fattening stages. Thus, loads at the slaughterhouse can be eased, and farm profits can be increased.

The purpose of this experiment was to test whether the improvement in homogeneity during transition stage provided by the Produmix feeding program was maintained during fattening stage.
|
MANAGEMENT |
INITIATOR |
PRE-STARTER |
STARTER |
|
Piglets up to 5kg |
1.5kg |
5kg |
Until 42 d post-weaning |
|
Piglets between 5 and 6.5kg |
0.8kg |
4kg |
Until 42 d post-weaning |
|
Piglets of more than 6.5kg |
0.2kg |
3.5kg |
Until 42 d post-weaning |
|
|
Initiator |
Pre-starter |
Starter |
| ||
|
|
Produmix |
Competition |
Produmix |
Competition |
Produmix |
Competition |
|
EN (Kcal) |
2700 |
2650 |
2480 |
2470 |
2470 |
2450 |
|
CP (%) |
19.5 |
19 |
18.6 |
18.5 |
18.3 |
18.3 |
|
CF(%) |
2.5 |
2.55 |
2.8 |
2.85 |
3.3 |
3.3 |
|
EE (%) |
7.5 |
7 |
6.2 |
6 |
5.6 |
5.4 |
|
Lactose (%) |
14.5 |
13.7 |
4 |
3.5 |
0.88 |
0.88 |
|
Dig Lys (%) |
1.35 |
1.3 |
1.26 |
1.22 |
1.15 |
1.12 |
|
Dig Met (%) |
0.52 |
0.5 |
0.43 |
0.41 |
0.39 |
0.37 |
|
|
GROWTH |
FATTENING |
|
EN (Kcal) |
2453 |
2453 |
|
CP (%) |
16.5 |
15.55 |
|
CF (%) |
4.5 |
4.5 |
|
EE(%) |
5.1 |
4.8 |
|
Dig Lys (%) |
0.85 |
0.72 |
|
Dig Met (%) |
0.26 |
0.22 |
Picture 1. Facilities and work material.

Results
|
|
PRODUMIX |
COMPETITION |
DIFFERENCE |
Significancea |
|
No. INITIAL ANIMALS |
100 |
100 |
|
|
|
WEANING WEIGHT/PIGLET |
5.86 |
5.9 |
-0.04 |
NS |
|
WEIGHT 42D POST-WEANING |
21.53 |
21.1 |
0.43 |
0.009 |
|
WEIGHT 100D POST-WEANING |
71.47 |
70.7 |
0.77 |
0.005 |
|
WEIGHT 130D POST-WEANING |
97.22 |
95.46 |
1.77 |
< 0.001 |
|
CASUALTIES (%) |
1 |
1 |
|
|
|
TOTAL ADG (g/d)b |
652.62 |
639.71 |
12.9 |
< 0.001 |
|
TOTAL FCR |
2.29 |
2.35 |
-0.06 |
|
|
NUTRITIONAL COST (€/kg) |
0.598 |
0.609 |
-0.011 |
|
a Subtracting block effect of initial weight (<5 kg, 5-6 kg y <6,5 kg). NS means no significance (p >0.05)
b Finding a higher effect on ADG 0-42d, of Produmix fed consumption, in piglets of group (<5 kg initial BW).
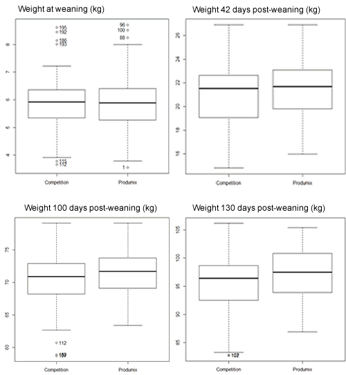
These results confirm that an optimal feeding in transition stage improves digestive preparation, increasing the homogeneity of the batch of animals. In addition, it should be noted that this homogeneity remains during fattening stage (Table 5 and Figure 4), being related to a faster growth speed of the whole batch in the feedlot (Picture 2).
Picture 2. Pigs in feedlot.

|
|
PRODUMIX | |||||||
|
|
No. |
WEANING |
No. |
42d |
No. |
100d |
No. |
130d |
|
POST-WEANING |
POST-WEANING |
POST-WEANING | ||||||
|
<5kg |
15 |
4.376 |
15 |
17.543 |
14 |
66.485 |
14 |
91.028 |
|
5-6.5kg |
68 |
5.843 |
68 |
21.601 |
68 |
71.438 |
68 |
97.363 |
|
>6.5kg |
17 |
7.23 |
17 |
24.777 |
17 |
75.7 |
17 |
101.776 |
|
MEAN |
100 |
5.86 |
100 |
21.53 |
99 |
71.47 |
99 |
97.22 |
|
C.V. |
|
16.1 |
|
11.2 |
|
4.6 |
|
4.4 |
|
|
|
|
|
|
|
|
|
|
|
|
COMPETITION | |||||||
|
|
No. |
WEANING |
No. |
42d |
No. |
100d |
No. |
130d |
|
POST-WEANING |
POST-WEANING |
POST-WEANING | ||||||
|
<5kg |
15 |
4.407 |
15 |
16.438 |
14 |
64.421 |
14 |
85.857 |
|
5-6.5kg |
67 |
5.887 |
67 |
21.131 |
67 |
70.618 |
67 |
95.748 |
|
>6.5kg |
18 |
7.181 |
18 |
24.892 |
18 |
75.878 |
18 |
101.844 |
|
MEAN |
100 |
5.9 |
100 |
21.1 |
99 |
70.7 |
99 |
95.46 |
|
C.V |
|
15.6 |
|
13.2 |
|
6 |
|
6.5 |
Coefficient of variation is calculated regarding individual animal weights
Figure 4. Evolution of weights spread.

Figure 5. Coefficients of variation of both groups throughout the experiment.

Figure 6. Effect on average daily gain from 0 to 42 days post-weaning in three groups of weight.

Thus, companies can reduce the length of stay in the feedlot, optimize loads and reduce the considerable losses caused by penalties for animals above or below the target weight. The extent to which each company structure will be able to do it will depend on whether they have own or integrated feedlots. In the latter case, it will depend on whether they pay per animal released of the feedlot or per place per month.
Produmix and its R&D&I team will continue researching on improving homogeneity through the development of high-quality feeding programs in the piglet stage, which allow to reduce weight variability in fattening stage. Considering that new genetics will increase prolificacy, it is becoming more and more necessary to improve piglet feeding in order to reduce the birth weight spread and weaning weight spread, which increase costs in feedlots when loaded to the slaughterhouse.
For more of the article, please click here.
Article made possible through the contribution of Pablo Conde Martínez et al. and Produmix, S.A.